|
Directions: These questions will ask you to write formulas for sequences. While one solution is offered, be aware that there are other notations and forms that may also be acceptable.
1. |
Given the sequence: {6, 16, 26, 36, ...}
a) Write an explicit formula for this sequence.
b) Write a recursive formula for this sequence.
|
|
|
2. |
Given the following sequence:
n |
1 |
2 |
3 |
4 |
... |
an |
2 |
4 |
8 |
16 |
... |
a)
Write an explicit formula for this sequence.
b) Write a recursive formula for this sequence.
|
|
|
3. |
An explicit formula for a sequence is
an = (-1)n • 2.
a) List the first 5 terms of this sequence.
b) Write a recursive formula for this sequence.
|
|
|
4. |
Given the sequence: {1, 4, 9, 16, ...}
a) Write an explicit formula for this sequence.
b) Write a recursive formula for this sequence.
|
|
|
5. |
Given the sequence: {1, 5, 25, 125, ...}
a) Write an explicit formula for this sequence.
b) Write a recursive formula for this sequence.
|
 |
|
6. |
Given the sequence: {10, 2, -6, -14, ...}
a) Write an explicit formula for this sequence.
b) Write a recursive formula for this sequence.
|
 |
|
|
|
7. |
Given the sequence: 
a) Write an explicit formula for this sequence.
b) Write a recursive formula for this sequence.
|
|
|
8. |
Given the sequence: a1 = 6 and an+1 = an + 4
a) List the first 5 terms of this sequence.
b) Write an explicit formula for this sequence.
|
 |
|
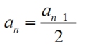
9. |
Given the sequence: a1 = -20 and 
a) List the first 5 terms of this sequence.
b) Write an explicit formula for this sequence.
|
 |
|
10. |
Given: a1 = 3 and an = an - 1 + 2
a) List the first 5 terms of this sequence.
b) Write an explicit formula for this sequence.
|
 |
|

NOTE: The re-posting of materials (in part or whole) from this site to the Internet
is copyright violation
and is not considered "fair use" for educators. Please read the "Terms of Use". |
|